当前位置: 三亿(中国)一站式服务平台»
三亿官网»
鞍师学子作品入选全国第三届大学生书法篆刻作品展览
三亿官网
鞍师学子作品入选全国第三届大学生书法篆刻作品展览
来源:美术学院
时间:2021-10-21
供稿部门:党委宣传部
点击量:
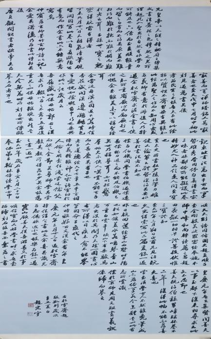
近日,全国第三届大学生书法篆刻作品展评审工作在河南省郑州市圆满结束。本次展览共收到4013件投稿作品,经过评委会严格评审,我校王昊杰、赵宏宇、朱晓彤三位同学的作品入展。

个人简介

王昊杰,山东昌邑人。三亿官网1905班学生,书法篆刻师从宋斌先生、王宏先生、周晨辉先生及美术学院诸位先生恩教。系中国楹联学会会员、山东省书协会员、潍坊市青年书协理事兼副秘书长、昌邑市政协委员、昌邑市青联常委、昌邑市书协主席团委员兼副秘书长、昌邑市青年书协常务副主席兼秘书长。潍坊市优秀青年文艺人才库入选专家、潍坊市潍水英才、昌邑市市管专家、昌邑市专业技术拔尖人才。王昊杰的作品在全国各类博览赛事中获奖、入展。
作品展示


个人简介

赵宏宇,山东淄博人,美术学院1905班学生。全国第三届大学生书法篆刻展入展,自幼七岁学习书法,擅长楷书行书。
作品欣赏


个人简介

朱晓彤,山西晋城人,中共预备党员,美术学院1805班学习委员,他的作品在全国各类博览赛事中入展。
作品展示



